The Cellar  

Go Back   The Cellar > Main > Home Base

Home Base A starting point, and place for threads don't seem to belong anywhere else

Reply
 
Thread Tools Display Modes
Old 02-06-2008, 12:49 PM   #61
Happy Monkey
I think this line's mostly filler.
 
Join Date: Jan 2003
Location: DC
Posts: 13,575
Doh! You're right. You're never guaranteed to get any particular match, but you are guaranteed to get A match.
__________________
_________________
|...............| We live in the nick of times.
| Len 17, Wid 3 |
|_______________| [pics]
Happy Monkey is offline   Reply With Quote
Old 02-06-2008, 01:22 PM   #62
classicman
barely disguised asshole, keeper of all that is holy.
 
Join Date: Nov 2007
Posts: 23,401
OK, how many shuffles does it take to get them back in the same order they were originally in - ie: right outta the box?
__________________
"like strapping a pillow on a bull in a china shop" Bullitt
classicman is offline   Reply With Quote
Old 02-06-2008, 01:44 PM   #63
Happy Monkey
I think this line's mostly filler.
 
Join Date: Jan 2003
Location: DC
Posts: 13,575
Eight, if you know what you're doing.

If not, then that's the situation where P will never be one, and there are no guarantees.
__________________
_________________
|...............| We live in the nick of times.
| Len 17, Wid 3 |
|_______________| [pics]
Happy Monkey is offline   Reply With Quote
Old 02-06-2008, 01:49 PM   #64
classicman
barely disguised asshole, keeper of all that is holy.
 
Join Date: Nov 2007
Posts: 23,401
holy crap! - :::head spins off:::
__________________
"like strapping a pillow on a bull in a china shop" Bullitt
classicman is offline   Reply With Quote
Old 02-06-2008, 02:18 PM   #65
Flint
Snowflake
 
Join Date: Mar 2006
Location: Dystopia
Posts: 13,136
Quote:
Originally Posted by Happy Monkey View Post
Eight, if you know what you're doing.
Quote:
A perfect shuffle occurs when the deck is divided exactly in half, and the cards are perfectly interlaced, with one card coming from one hand, then one card coming from the other hand, then one card coming from the first hand, etc. There are two types of perfect shuffles, the "in-shuffle" and the "out-shuffle." Let's assume that the deck is divided in two with the top cards going into the left hand and the bottom cards into the right hand. Then an in-shuffle begins with the first card coming from the left, the second from the right, the third from the left, etc. An out-shuffle begins with the first card coming from the right. If the right hand originally took the top cards, then the definitions are reversed (the in-shuffle begins with the first card coming from the right...). It has been shown that eight perfect out-shuffles returns the 52-card deck to its original order. Apparently, it takes more in-shuffles to do that.
I'm not calculating this scenario based on professional magicians doing elaborate card tricks. I'm talking about people playing a hand of cards, and then shuffling a few times, and then playing another hand. And, maybe they drop them on the floor, or one of the cards get bent, etc.

Saying the possible shuffles is 52! assumes randomness, which isn't entirely accurate, but it's more believable than a series of "perfect" shuffles.

If one card gets out of order in your series of "perfect" shuffles, you've started down the long road of 8.06581751709439 e+67 permutations.
__________________
******************
There's a level of facility that everyone needs to accomplish, and from there
it's a matter of deciding for yourself how important ultra-facility is to your
expression. ... I found, like Joseph Campbell said, if you just follow whatever
gives you a little joy or excitement or awe, then you're on the right track.

. . . . . . . . . . . . . . . . . . . . . . . . . . Terry Bozzio
Flint is offline   Reply With Quote
Old 02-06-2008, 03:19 PM   #66
Flint
Snowflake
 
Join Date: Mar 2006
Location: Dystopia
Posts: 13,136
Quote:
Yes you are, because the outcomes are limited--it's like if you have four different colors of socks, and you choose five socks. Your fifth sock must match one of the other four.
Except, in this case, you’ve got four pairs of socks in a box, and you’re pulling them out one at a time and lining them up in that order. You have to get them in the exact same order, not just draw the same ones.

If you’ve got a red, green, blue, and orange sock; you could draw:

R G B O
R G O B
R B G O
R B O G
R O G B
R O B G


And that’s just what could happen if you draw the red sock first. It carries on for a total of 24 friendly, manageable permutations.

But the factorial of 52 is 8.065 817 517 094 39 x10 to the 67th power (roughly 8 with 67 zeroes). That's how many shuffles there are.

Any card of 52 could be in the first position, then for the 51 choices for the second card, there are 50 choices that could be the third card. But they might not be first, second, or third; they could be anywhere in the deck. The number of possible shuffles is so large that the human brain cannot comprehend it directly.

It’s not only possible that the same shuffle has never happened, it’s the most likely outcome; considering the number of permutations, and the number of chances we have had to crunch through them. Certainly you aren’t required to go through all of them to get a repeat, but…

...we’re talking about something like taking all the grains of sand in the world, throwing them up in the air, and having them all fall back down in the exact same place. That isn't going to happen very often, and if you don't have enough time to keep trying, it will never happen. We haven't had enough time to get the same shuffle twice. And before we get the chance, we'll be long gone. It will never happen.
__________________
******************
There's a level of facility that everyone needs to accomplish, and from there
it's a matter of deciding for yourself how important ultra-facility is to your
expression. ... I found, like Joseph Campbell said, if you just follow whatever
gives you a little joy or excitement or awe, then you're on the right track.

. . . . . . . . . . . . . . . . . . . . . . . . . . Terry Bozzio
Flint is offline   Reply With Quote
Old 02-06-2008, 03:27 PM   #67
Happy Monkey
I think this line's mostly filler.
 
Join Date: Jan 2003
Location: DC
Posts: 13,575
Quote:
Originally Posted by Flint View Post
I'm not calculating this scenario based on professional magicians doing elaborate card tricks. I'm talking about people playing a hand of cards, and then shuffling a few times, and then playing another hand. And, maybe they drop them on the floor, or one of the cards get bent, etc.
Right. I believe I addressed that in the second sentence. You are never guaranteed to match any particular shuffle (including the initial order), no matter how many times you shuffle.

The perfect shuffle thing was an amusing aside.
Quote:
If one card gets out of order in your series of "perfect" shuffles, you've started down the long road of 8.06581751709439 e+67 permutations.
Worse than that. If you make one mistake, and then continue a series of perfect shuffles, you will never get the original order back. You'll cycle through a sequence of eight incorrect shuffles until you make another mistake.

edit:
Another aside- out-shuffles have a cycle of eight, and in-shuffles have a cycle of 52.
__________________
_________________
|...............| We live in the nick of times.
| Len 17, Wid 3 |
|_______________| [pics]

Last edited by Happy Monkey; 02-06-2008 at 03:36 PM.
Happy Monkey is offline   Reply With Quote
Old 02-06-2008, 03:32 PM   #68
Happy Monkey
I think this line's mostly filler.
 
Join Date: Jan 2003
Location: DC
Posts: 13,575
Quote:
Originally Posted by Flint View Post
Except, in this case, you’ve got four pairs of socks in a box, and you’re pulling them out one at a time and lining them up in that order. You have to get them in the exact same order, not just draw the same ones.
In Clodfobble's example, each sock represents a shuffle, not a card, and "four" represents "52!". So you are guaranteed to get a match with five socks, or 52!+1 shuffles. Clodfobble was correcting my misunderstanding of HungLikeJesus' post.
__________________
_________________
|...............| We live in the nick of times.
| Len 17, Wid 3 |
|_______________| [pics]
Happy Monkey is offline   Reply With Quote
Old 02-06-2008, 03:40 PM   #69
lookout123
changed his status to single
 
Join Date: Apr 2004
Location: Right behind you. No, the other side.
Posts: 10,308
Wow. I've been visiting the cellar for nearly four years now for threads like this. I honestly couldn't care less about this subject and certainly am incapable of following, let alone creating the calculations you are all doing. In most circles I find myself in I (all arrogance aside) would rank near the top in intelligence and mental ability. Then I come to the cellar and feel like a true simpleton. You guys amaze me. While this subject holds no interest for me, the fact that it has captured your attention enough so that you actually calculate the truthiness of the thread title fascinates me.

Well done, geniuses. Well done.
__________________
Getting knocked down is no sin, it's not getting back up that's the sin
lookout123 is offline   Reply With Quote
Old 02-06-2008, 03:46 PM   #70
Flint
Snowflake
 
Join Date: Mar 2006
Location: Dystopia
Posts: 13,136
Quote:
Originally Posted by Happy Monkey View Post
I believe I addressed that in the second sentence.
Well, I believe I addressed this in post #54:
Quote:
Originally Posted by Flint View Post
I haven't met my quota for scathing remarks this morning.
Plus, I was addressing the perfect shuffle thing, because it had been mentioned once before. And, 52!+1 ... ha! That's funny.

The interesting thing is that you really must get a match eventually, it's just that we don't have that kind of time. It reminds me of the idea that, given the universe is infinite in size, you can calculate how far you would have to go before you encounter an identical Earth, down to the last atom. Think about that.

By the way, what happened here is that my dad mentioned that the same card shuffle has never happened, and it bothered me. A few weeks later I asked him, did he mean one person has never had the same shuffle in their life? And he said, no, nobody. Ever. It's hard to believe, but we got out some scratch paper and a calculator and started pecking away at it. I'll be damned if I'm not completely convinced. I don't think it's possible that any given shuffle has ever repeated. So, lookout, you can thank my dad for this thread.

I really don't want to have to get out my statistics textbook, but...
I'm curious to know how many permutations it would take to have a 1% chance of repeating a shuffle.
__________________
******************
There's a level of facility that everyone needs to accomplish, and from there
it's a matter of deciding for yourself how important ultra-facility is to your
expression. ... I found, like Joseph Campbell said, if you just follow whatever
gives you a little joy or excitement or awe, then you're on the right track.

. . . . . . . . . . . . . . . . . . . . . . . . . . Terry Bozzio

Last edited by Flint; 02-06-2008 at 04:21 PM.
Flint is offline   Reply With Quote
Old 02-06-2008, 04:02 PM   #71
Flint
Snowflake
 
Join Date: Mar 2006
Location: Dystopia
Posts: 13,136
Quote:
Originally Posted by lookout123 View Post
Well done, geniuses. Well done.
And, yes, I too love the Cellar for having five pages worth of interest in this subject, in just two days. You guys are top-notch.
__________________
******************
There's a level of facility that everyone needs to accomplish, and from there
it's a matter of deciding for yourself how important ultra-facility is to your
expression. ... I found, like Joseph Campbell said, if you just follow whatever
gives you a little joy or excitement or awe, then you're on the right track.

. . . . . . . . . . . . . . . . . . . . . . . . . . Terry Bozzio
Flint is offline   Reply With Quote
Old 02-06-2008, 04:54 PM   #72
Cicero
Looking forward to open mic night.
 
Join Date: Oct 2006
Location: New Mexico
Posts: 5,148
Actually- Sheldon is all the proof we need K?

__________________
Show me a sane man, and I will cure him for you.- Carl Jung
Cicero is offline   Reply With Quote
Old 02-06-2008, 05:46 PM   #73
Happy Monkey
I think this line's mostly filler.
 
Join Date: Jan 2003
Location: DC
Posts: 13,575
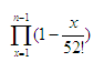
Here's the formula to calculate the chance, in n shuffles, that there will be NO matches:
Attached Images
 
__________________
_________________
|...............| We live in the nick of times.
| Len 17, Wid 3 |
|_______________| [pics]
Happy Monkey is offline   Reply With Quote
Old 02-06-2008, 06:51 PM   #74
Clodfobble
UNDER CONDITIONAL MITIGATION
 
Join Date: Mar 2004
Location: Austin, TX
Posts: 20,012
So if Flint sets that equation equal to 99, and solves for n, then he'll have his 1%-chance-of-a-duplicate answer, right?


Note I said Flint does it, because I sure as hell don't have the energy.
Clodfobble is offline   Reply With Quote
Old 02-06-2008, 07:29 PM   #75
Happy Monkey
I think this line's mostly filler.
 
Join Date: Jan 2003
Location: DC
Posts: 13,575
0.99, but yeah.
__________________
_________________
|...............| We live in the nick of times.
| Len 17, Wid 3 |
|_______________| [pics]
Happy Monkey is offline   Reply With Quote
Reply


Currently Active Users Viewing This Thread: 1 (0 members and 1 guests)
 
Thread Tools
Display Modes

Posting Rules
You may not post new threads
You may not post replies
You may not post attachments
You may not edit your posts

BB code is On
Smilies are On
[IMG] code is On
HTML code is Off

Forum Jump

All times are GMT -5. The time now is 10:14 AM.


Powered by: vBulletin Version 3.8.1
Copyright ©2000 - 2025, Jelsoft Enterprises Ltd.